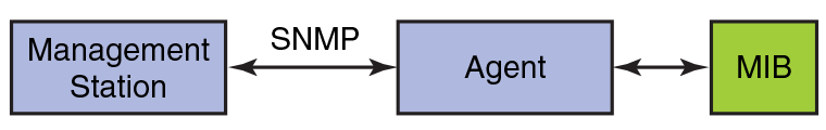
Every Extreme device carries an agent and management information base (MIB), as shown in the next figure. The agent accesses information about a device and makes it available to an SNMP network management station.


When active, the management station can "get" information or "set" information when it queries an agent. SNMP commands, such as get, set, getnext, and getresponse, are sent from the management station, and the agent replies once the value is obtained or modified as shown in the next figure. Agents use variables to report such data as the number of bytes and packets in and out of the device, or the number of broadcast messages sent and received. These variables are also known as managed objects. All managed objects are contained in a MIB.


The management station can also receive traps, unsolicited messages from the device agent if an unusual event occurs as shown in the next figure.


The agent can receive queries from one or more management stations and can send traps to up to six management stations.